Електродвигуни ВАО2 380/660В
Електродвигуни ВАО2 -280 -315 -355. Ціни та каталог моделей.
Електродвигуни ВАО2 це вибухозахисні електромашини однією з найпоширеніших у вибухонебезпечної і пожежонебезпечної промисловості серій. Електродвигун ВАО2 призначений для використання в пожежо - та вибухонебезпечних приміщеннях категорій llА і llB з пилом або газом 1-4 груп займистості, шахтах, а також на виробництвах або зовнішніх установках. Електродвигуни ВАО2 -280 -315 -355 випускалися з підключенням 380/660В (стандартний трикутник/зірка, за спецзамовленням - 1140 В) і двома варіантами взрывозащитного виконання - РВ 3В (рудничне виконання) або IExdllBT4 (хімічне виконання). Двигун ВАО2 розрахований на безперервний робочий режим С1, індекс пило-вологозахищеністю 54, нагревостойкость обмоток статора - до 155°C або 180°C (F або H).

Високі показники надійності, якими володіє електродвигун ВАО2 (середній ресурс капремонту 38000 годин, напрацювання на відмову ― 25000 годин, шанс/ймовірність роботи без відмов 0,97), говорять про дуже якісному і довговічному двигуні, який буде безвідмовно працювати тривалий час.
Маркується ВАО2 - 280 -315 -355 L, M, S 2/4/6/8/10
1. Абревіатура ВАО вибухозахищений асинхронний обдувається
2. 2 - модернізаційна серія
3. 280/315/355 – цифра, яка вказує висоту осі обертання вала в міліметрах
4. Буква L, M, S – розмір/довжина станини (довгий, середній, короткий; від англійських слів)
5. 2/4/6/8/10 – позначає кількість полюсів
Маркування може включати позначення специсполнений, категорії розміщення та види кліматичних виконань.
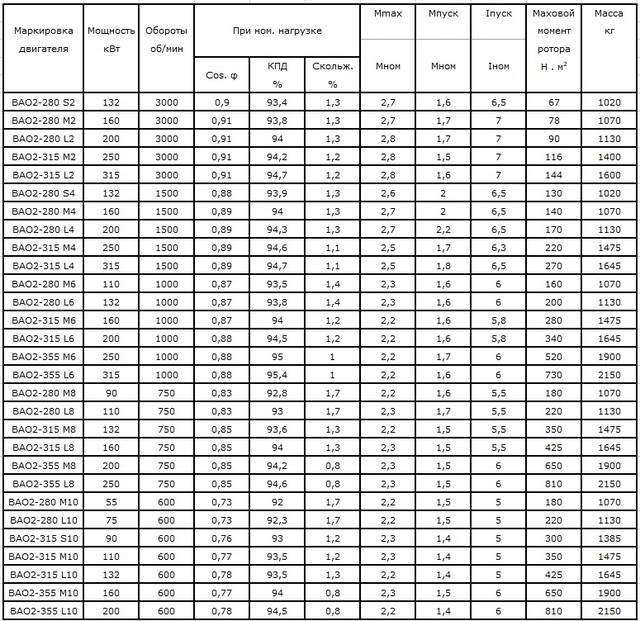
Характеристики ВАО2 -280 -315 -355

Електродвигун ВАО2 -280 -315 -355 має відмінне охолодження і вкрай малі ймовірність перегріву завдяки аксіальної системі повітряної циркуляції, яка здійснюється відцентровим вентилятором, посадженим на вал ротора електродвигуна.
Конструкція, матеріали і розміри ВАО2 -280 -315 -355
Ротор електродвигуна ВАО2 -280 -315 -355 короткозамкнений, з алюмінію. Кришки підшипників, підшипникові щити і маслосбрасывающие кільця виконані з чавуну. Ізоляційний клас обмотки статора – F. З'єднання обмотки статора спаяні мідно – фосфористым твердим припоєм.Станина, з якої виконаний вибухозахищений електродвигун ВАО2 сталева, виконана з навариванием ребер жорсткості вздовж неї, крім того поверх станини проходять труби, призначені для циркуляції повітря. Сам електродвигун виконується в закритому виконанні, з вибухонепроникної оболонкою класу D.

Электродвигатель ВАО2. Применения.
- Добыча и транспорт газа
- Химические заводы
- Добыча и транспорт нефти
- Металлургическая промышленность
- Энергетика (котельное хозяйство
- Бумажно-целлюлозная промышленность
- Шахты
- Нефтеперерабатывающие заводы
Обеспечиваем оперативную доставку по аварийным заявкам в такие города: Киев, Одесса, Тернополь, Хмельницкий, Полтава, Кировоград, Симферополь, Ровно, Донецк, Николаев, Днепропетровск, Луганск, Запорожье, Винница, Чернигов, Черновцы, Львов, Ивано-Франковск, Луцк, Херсон, Ужгород, Сумы, Белая Церковь, Кременчуг, Горловка, Краматорск и другие города Украины.
Доступен экспорт на электродвигатель ВАО2 280 315 355 в такие страны как Молдова, Грузия, Армения, Казахстан, Азербайджан, Таджикистан, Литва, Латвия, Эстония, Туркменистан. Минимальная стоимость таможенной очистки партии товара FCA 4500 грн (180 USD).
-
ВАО2-280S2
ВАО2-280S2 (електродвигун ВАО2-280S2 132 кВт 3000 об/хв)
260 000 ₴В наявності -
ВАО2-280М2
ВАО2-280M2 (електродвигун ВАО2-280M2 160 кВт 3000 об/хв)
275 000 ₴В наявності -
ВАО2-280L2
ВАО2-280L2 (електродвигун ВАО2-280L2 200 кВт 3000 об/хв)
285 000 ₴В наявності -
ВАО2-315М2
ВАО2-315М2 (електродвигун ВАО2-315М2 250 кВт 3000 об/хв)
345 000 ₴В наявності -
ВАО2-315L2
ВАО2-315L2 (електродвигун ВАО2-315L2 315 кВт 3000 об/хв)
395 000 ₴В наявності -
ВАО2-280S4
ВАО2-280S4 (електродвигун ВАО2-280S4 132 кВт 1500 об/хв)
250 000 ₴В наявності 2 од. -
ВАО2-280М4
ВАО2-280М4 (електродвигун ВАО2-280М4 160 кВт 1500 об/хв)
270 000 ₴В наявності -
ВАО2-280L4
ВАО2-280L4 (електродвигун ВАО2-280L4 200 кВт 1500 об/хв)
280 000 ₴В наявності -
ВАО2-315М4
ВАО2-315М4 (електродвигун ВАО2-315М4 250 кВт 1500 об/хв)
365 000 ₴В наявності -
ВАО2-315L4
ВАО2-315L4 (електродвигун ВАО2-315L4 315 кВт 1500 об/хв)
415 000 ₴В наявності -
ВАО2-280М6
ВАО2-280М6 (електродвигун ВАО2-280М6 110 кВт 1000 об/хв)
278 500 ₴В наявності 2 од. -
ВАО2-280L6
ВАО2-280L6 (електродвигун ВАО2-280L6 132 кВт 1000 об/хв)
295 000 ₴В наявності -
ВАО2-315М6
ВАО2-315М6 (електродвигун ВАО2-315М6 160 кВт 1000 об/хв)
380 000 ₴В наявності 2 од. -
ВАО2-315L6
ВАО2-315L6 (електродвигун ВАО2-315L6 200 кВт 1000 об/хв)
420 000 ₴В наявності -
ВАО2-355М6
ВАО2-355М6 (електродвигун ВАО2-355М6 250 кВт 1000 об/хв)
475 000 ₴В наявності 2 од. -
ВАО2-355L6
ВАО2-355L6 (електродвигун ВАО2-355L6 315 кВт 1000 об/хв)
530 000 ₴В наявності 2 од. -
ВАО2-280М8
ВАО2-280М8 (електродвигун ВАО2-280М8 90 кВт 750 об/хв)
280 000 ₴В наявності -
ВАО2-280L8
ВАО2-280L8 (електродвигун ВАО2-280L8 110 кВт 750 об/хв)
280 000 ₴В наявності -
ВАО2-315М8
ВАО2-315М8 (електродвигун ВАО2-315М8 132 кВт 750 об/хв)
370 000 ₴В наявності 2 од. -
ВАО2-315L8
ВАО2-315L8 (електродвигун ВАО2-315L8 160 кВт 750 об/хв)
415 000 ₴В наявності -
ВАО2-355М8
ВАО2-355М8 (електродвигун ВАО2-355М8 200 кВт 750 об/хв)
465 000 ₴В наявності -
ВАО2-355L8
ВАО2-355L8 (електродвигун ВАО2-355L8 250 кВт 750 об/хв)
530 000 ₴В наявності -
ВАО2-280М10
ВАО2-280М10 (електродвигун ВАО2-280М10 55 кВт 600 об/хв)
285 000 ₴В наявності 2 од. -
ВАО2-280L10
ВАО2-280L10 (електродвигун ВАО2-280L10 75 кВт 600 об/хв)
295 000 ₴В наявності 2 од.

